关于清理长期封存账号的通知
来源: 点击数:29 发布日期:2026-03-30 00:00:00
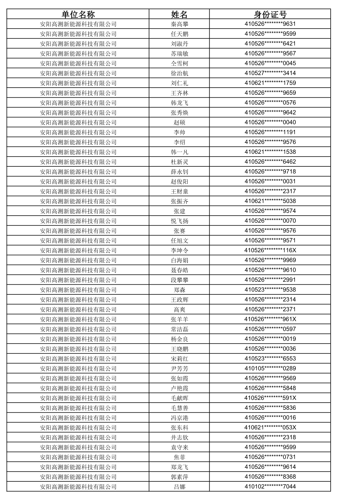
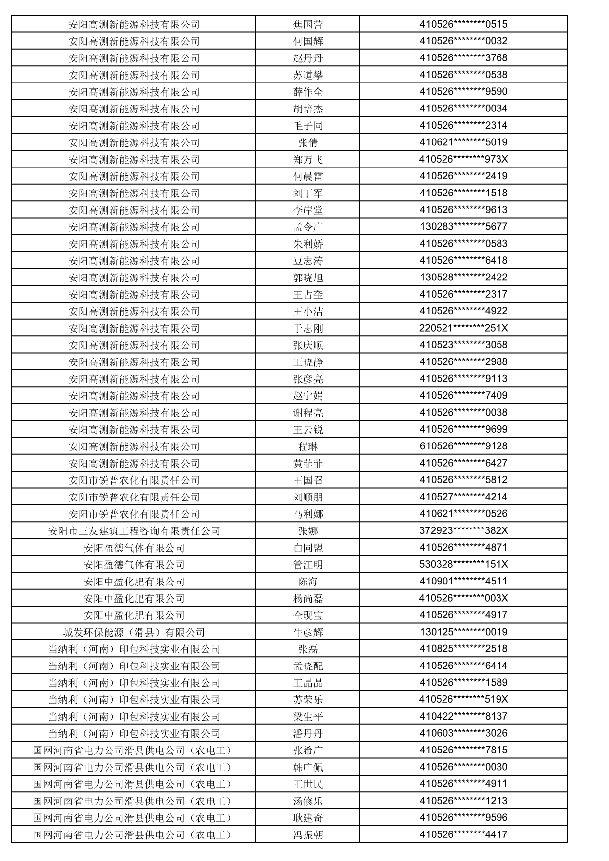
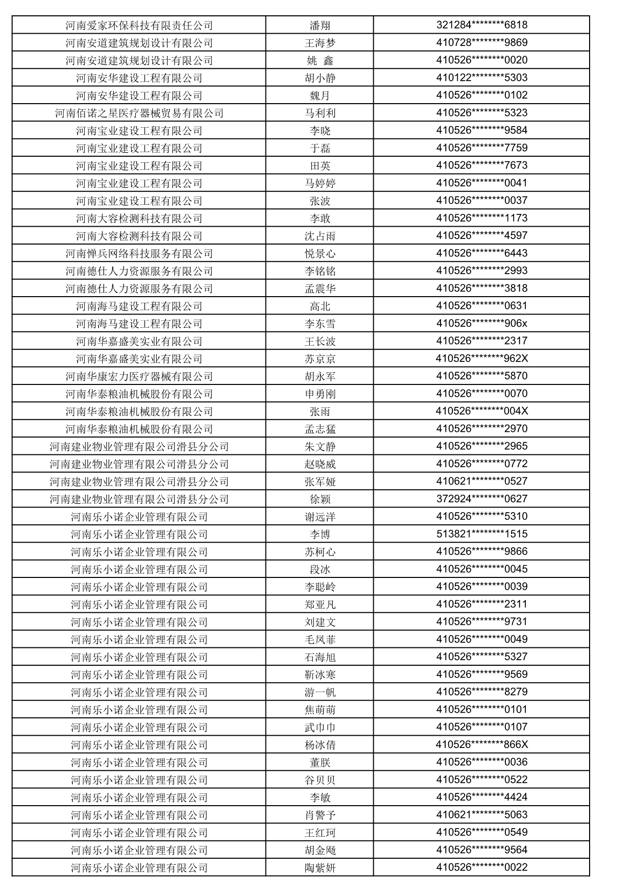
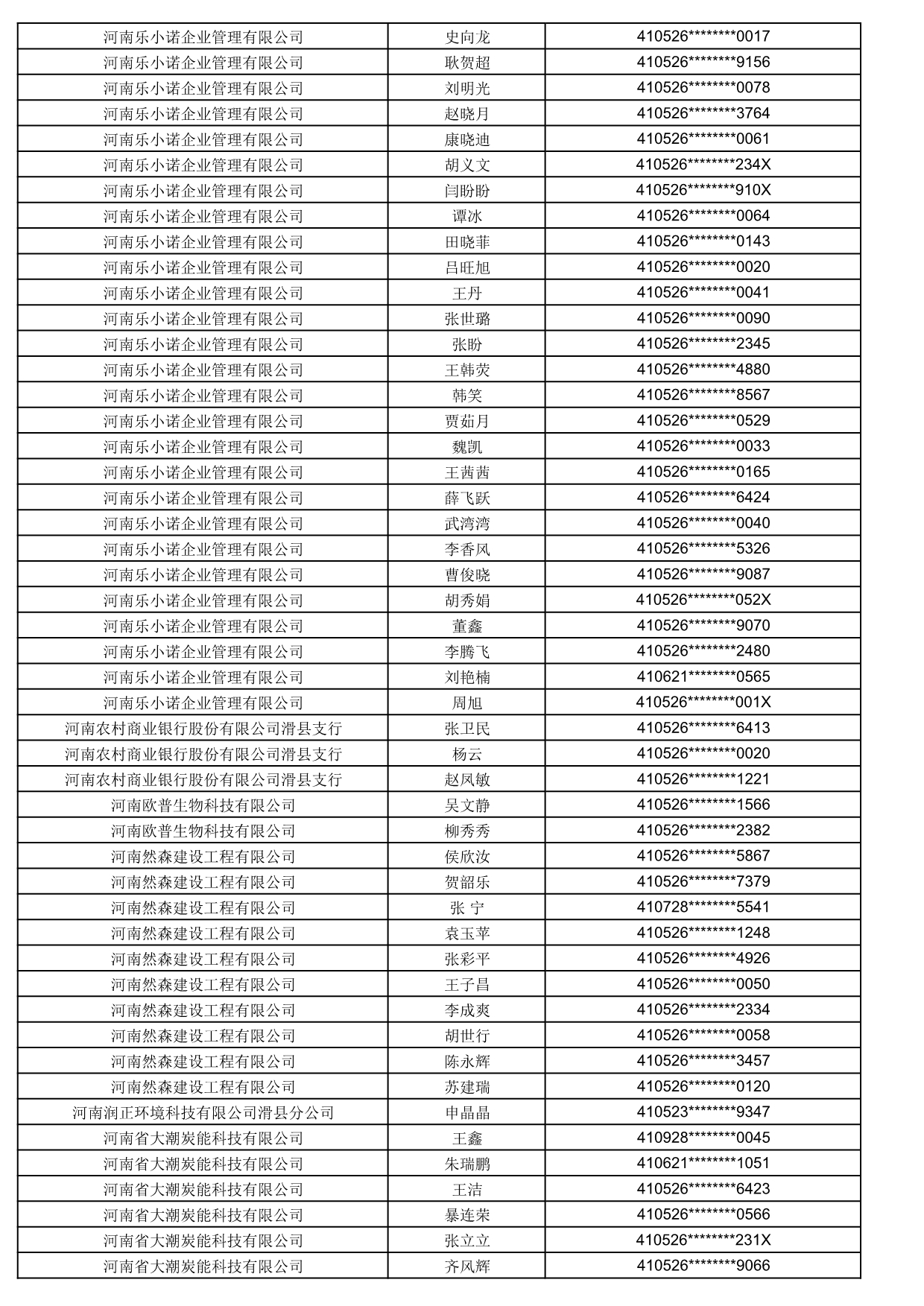
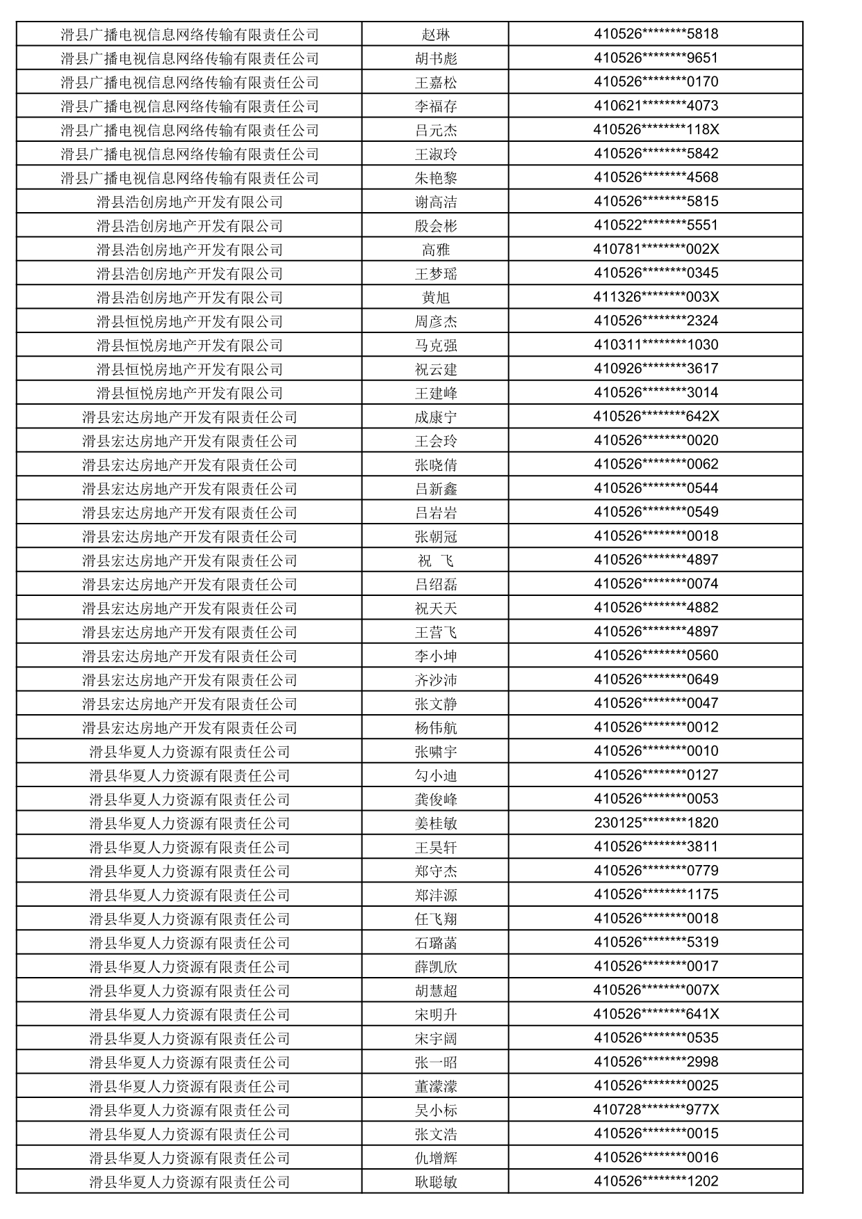
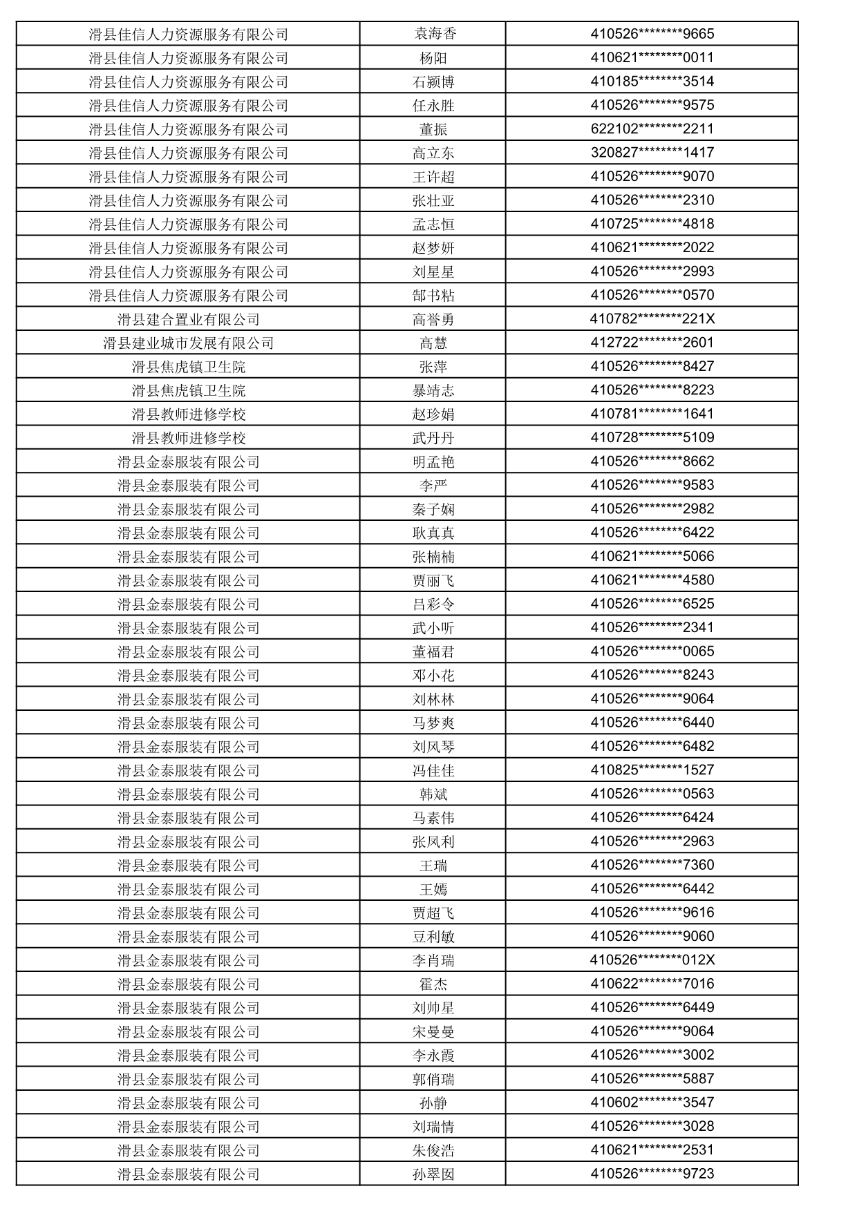
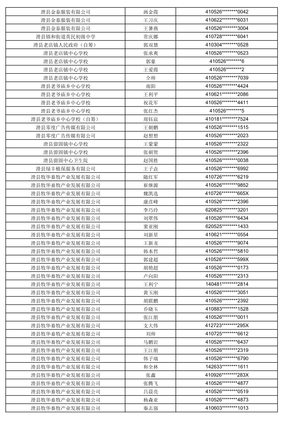
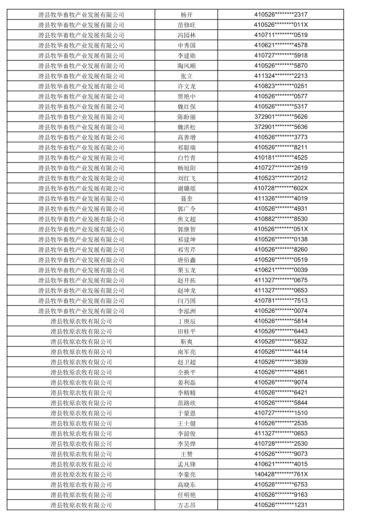
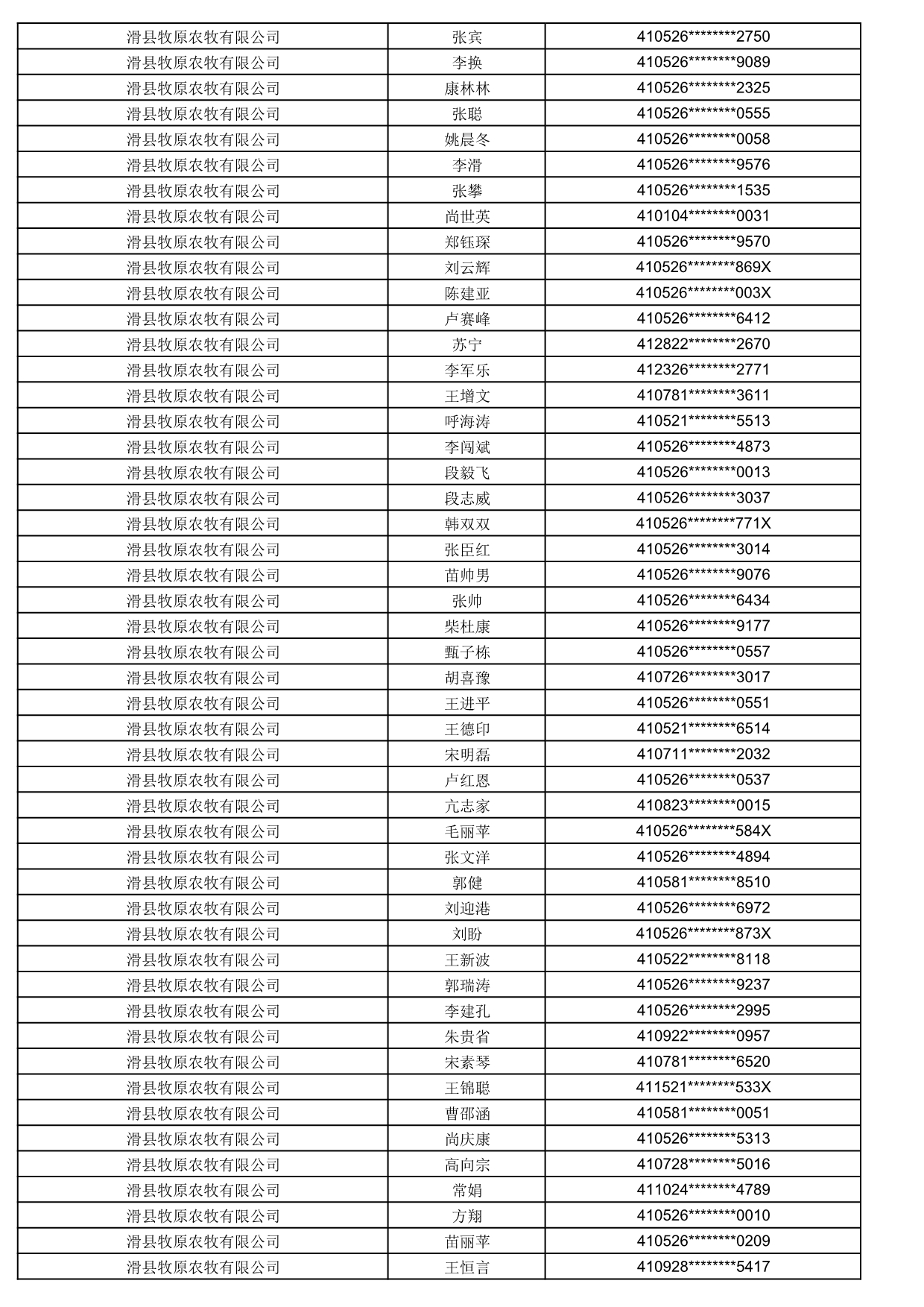
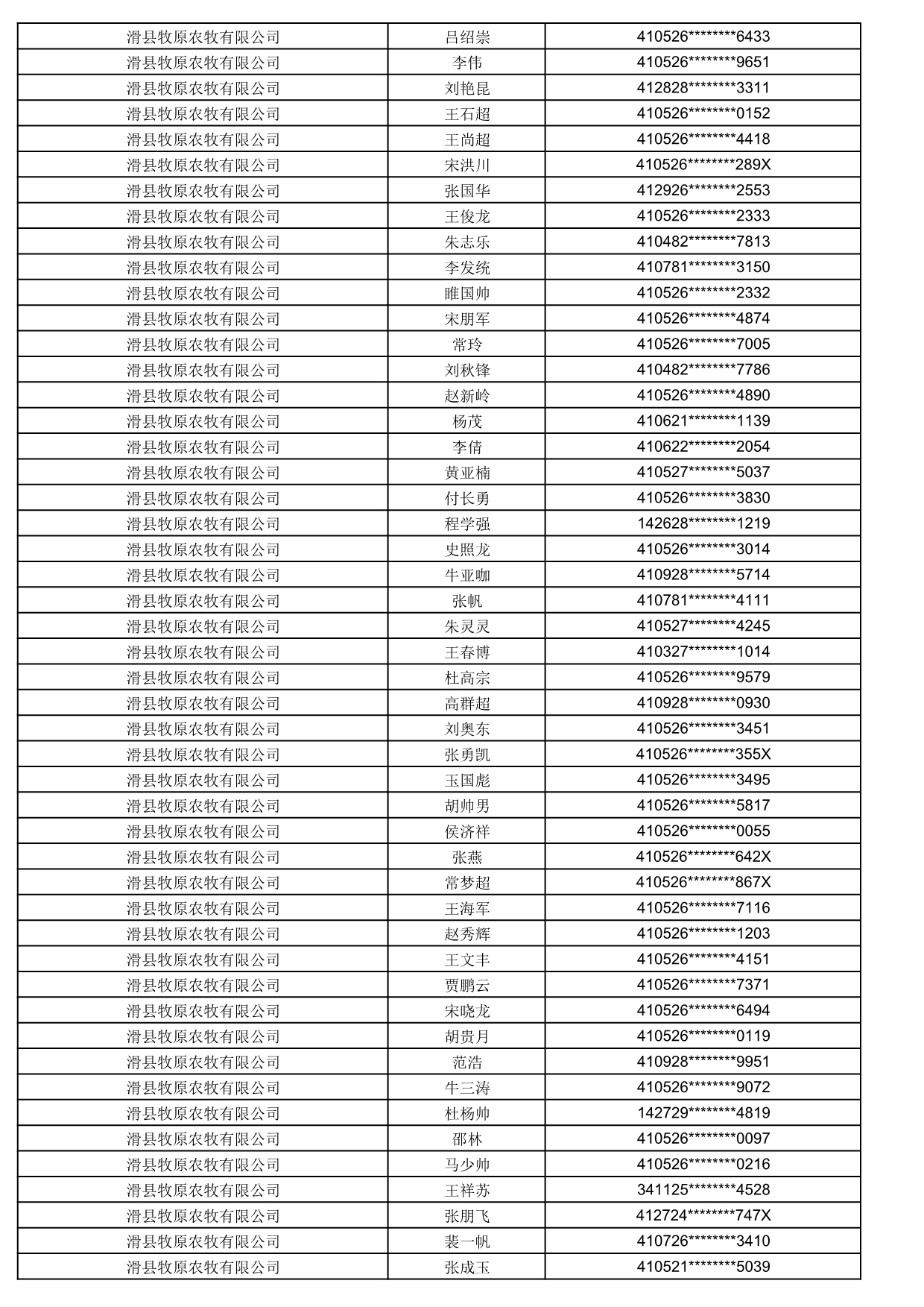
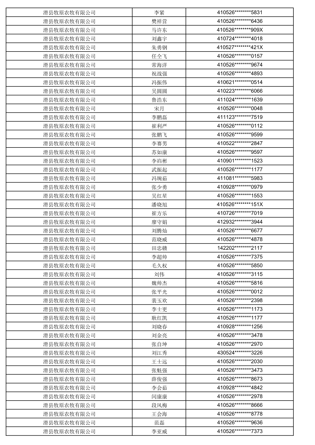
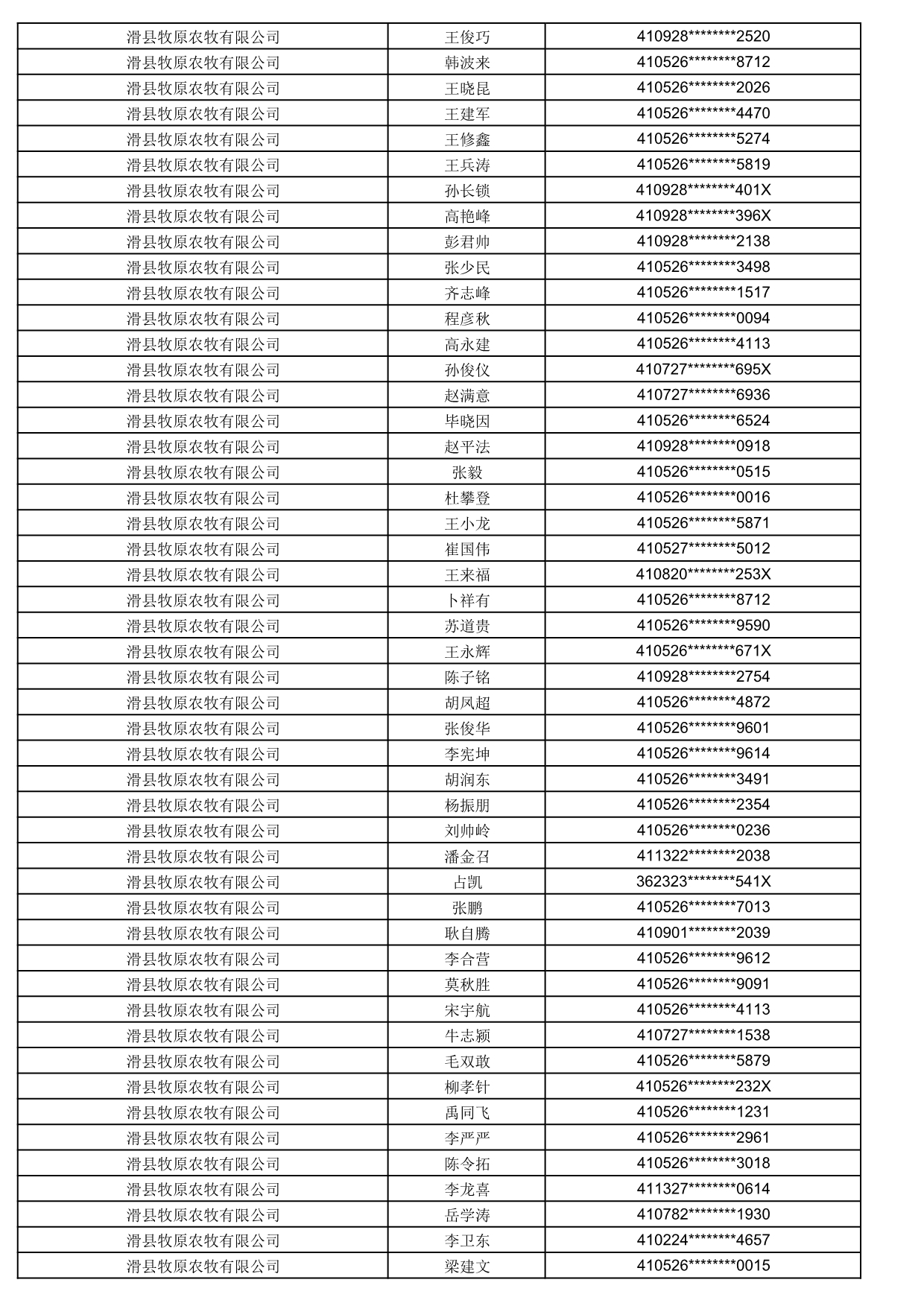
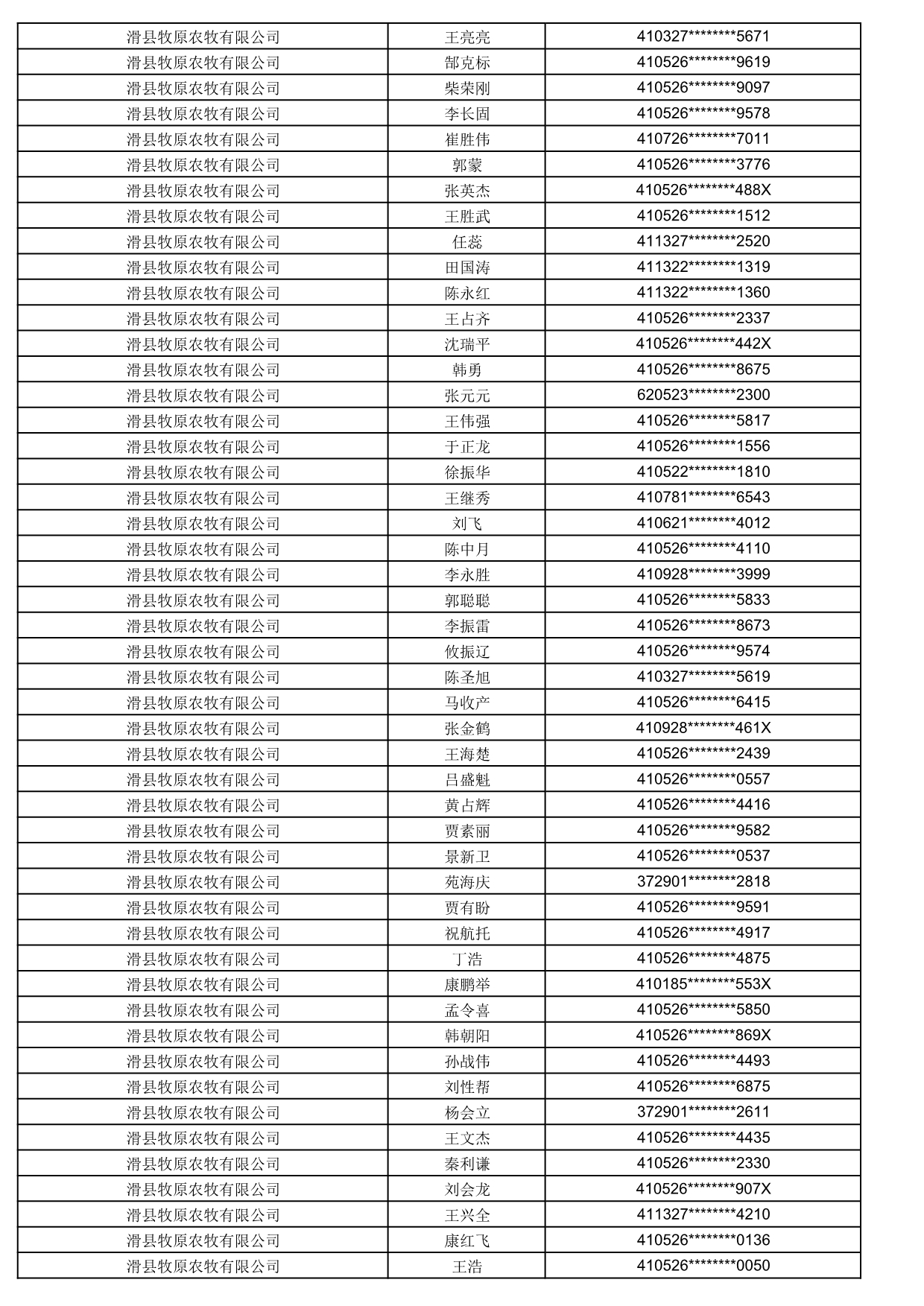
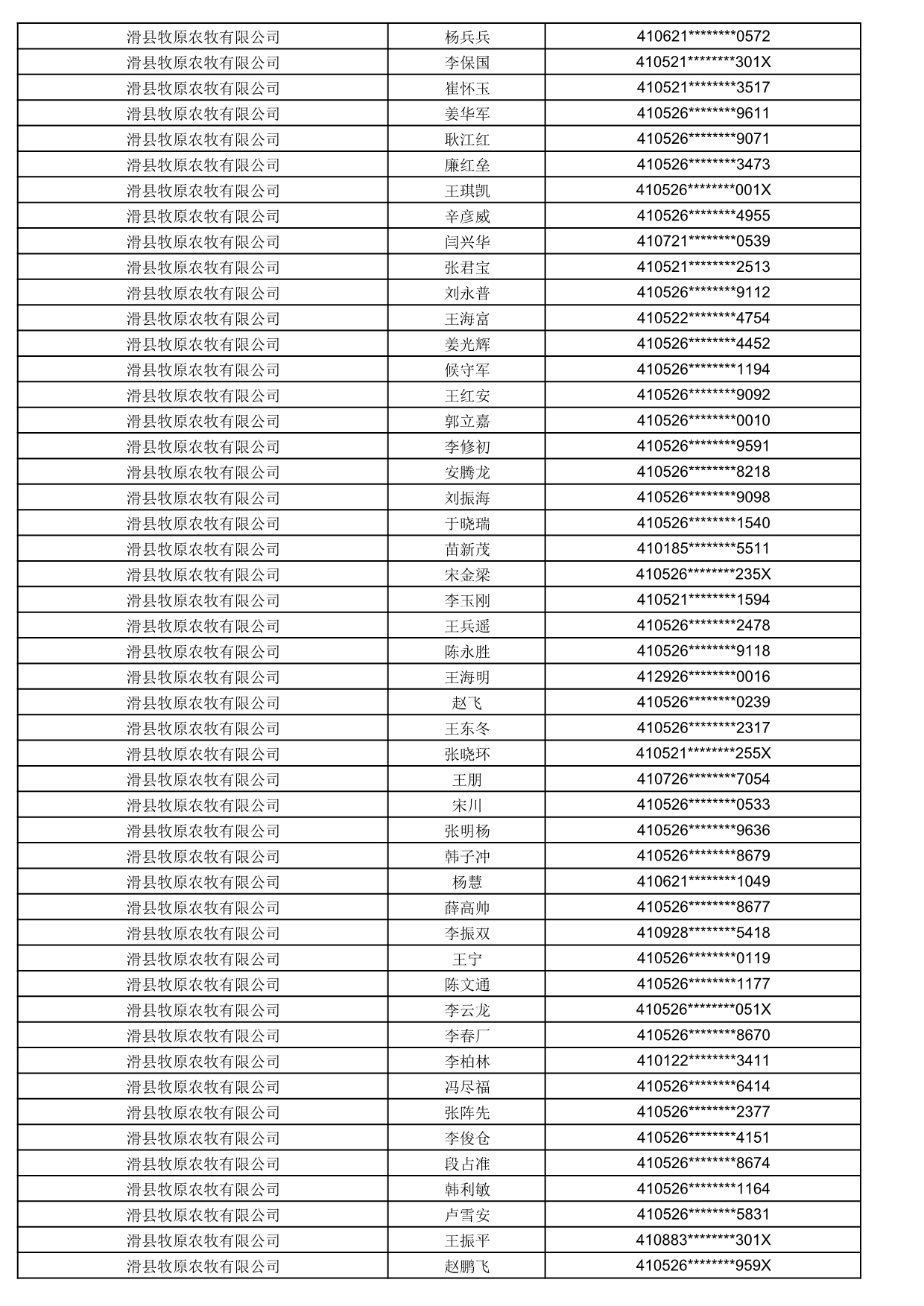
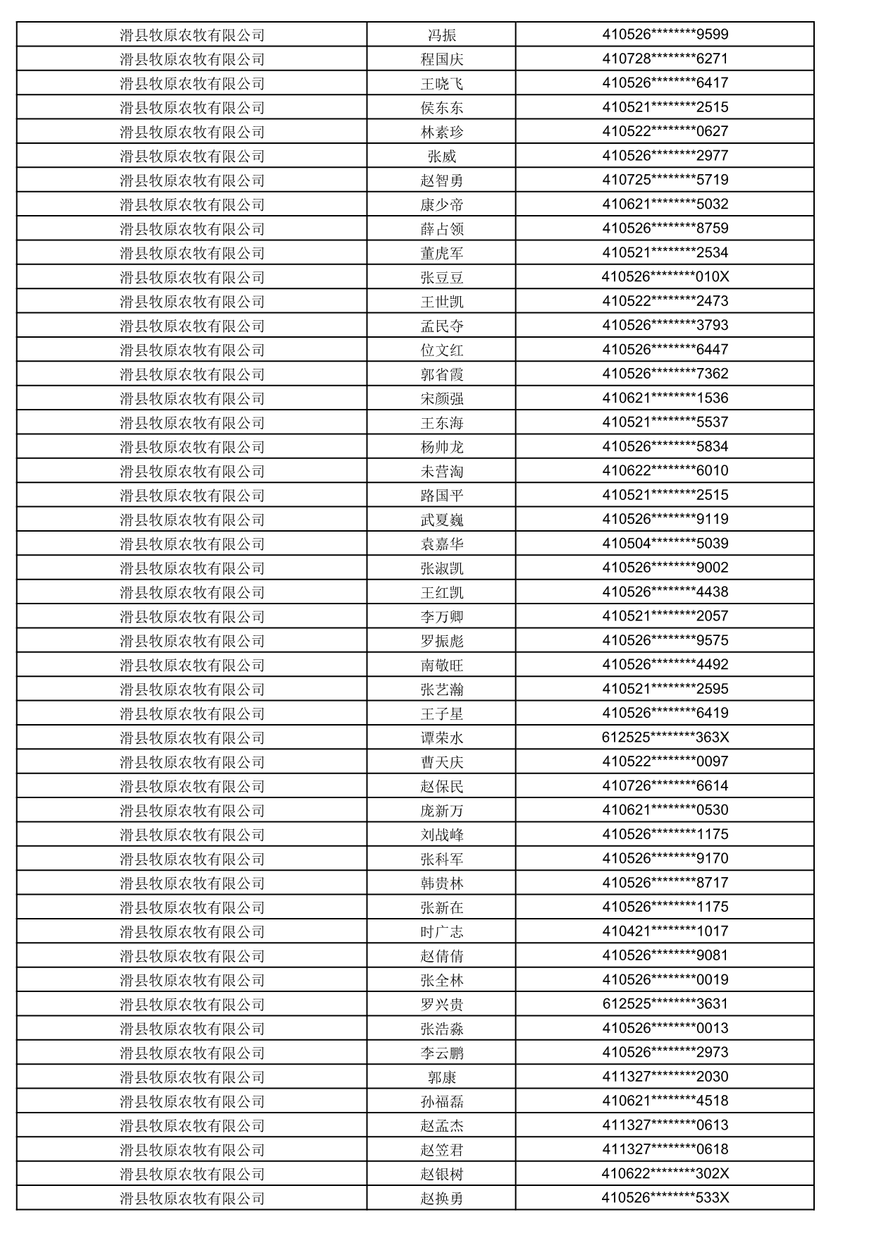
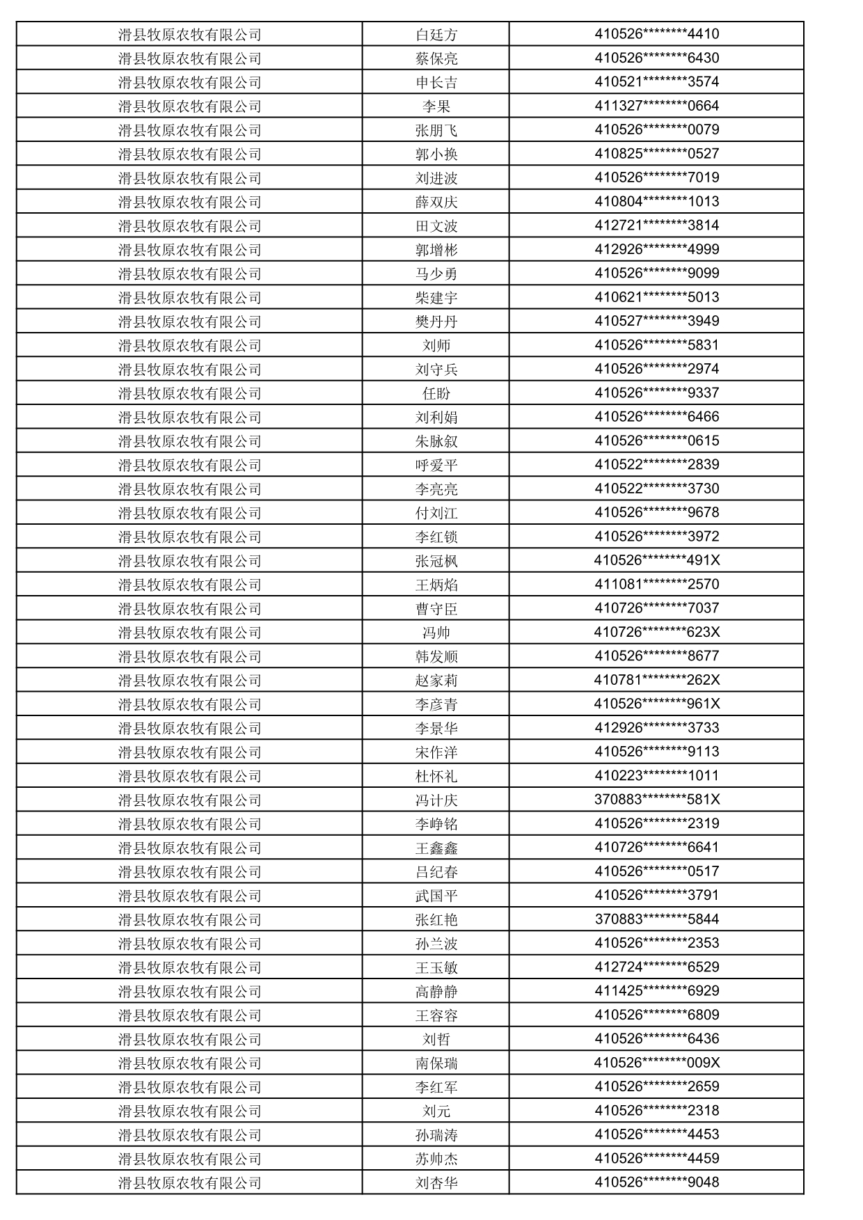
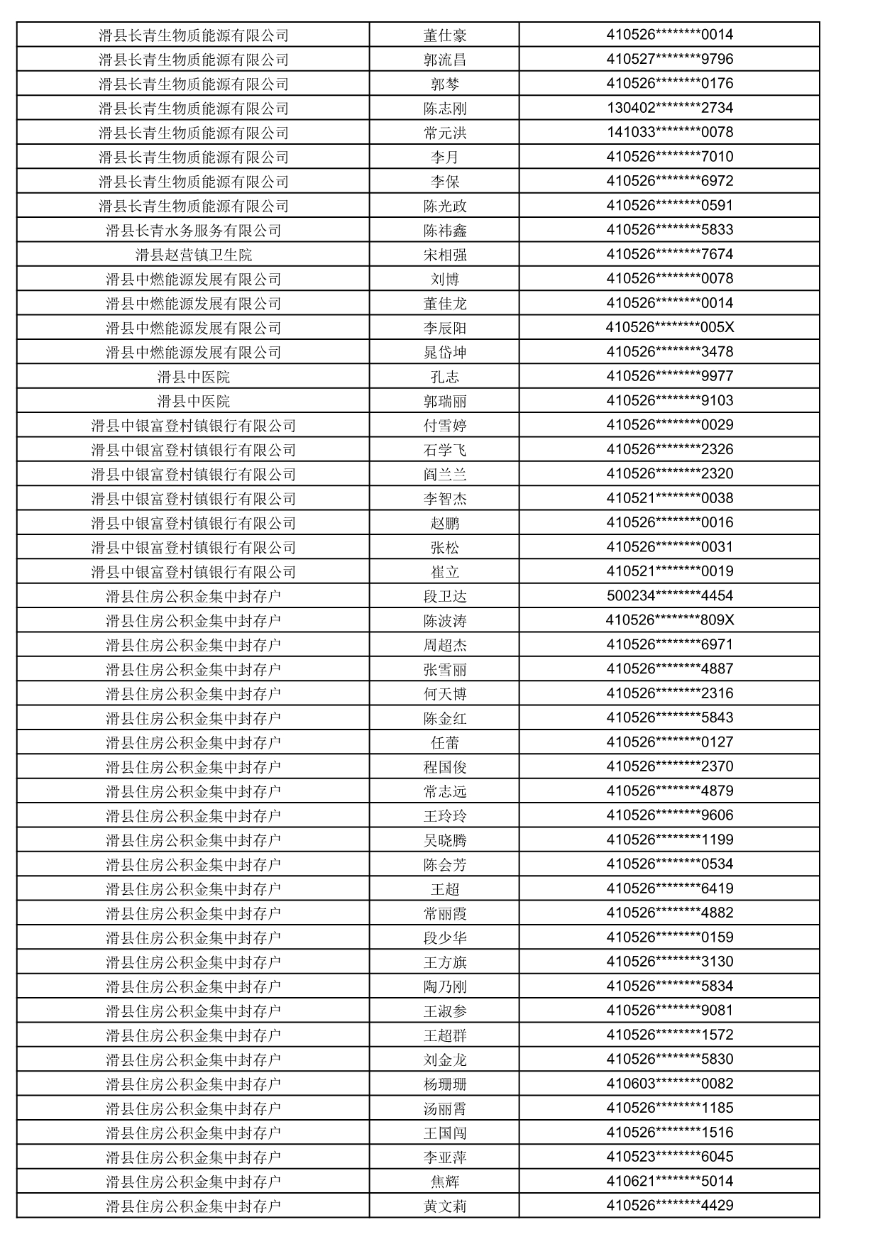
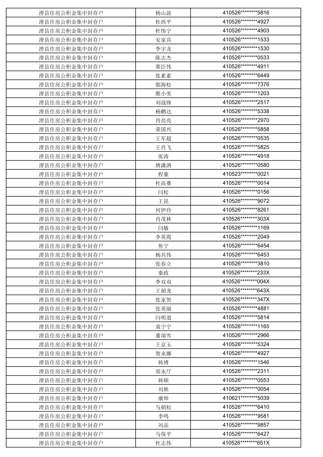
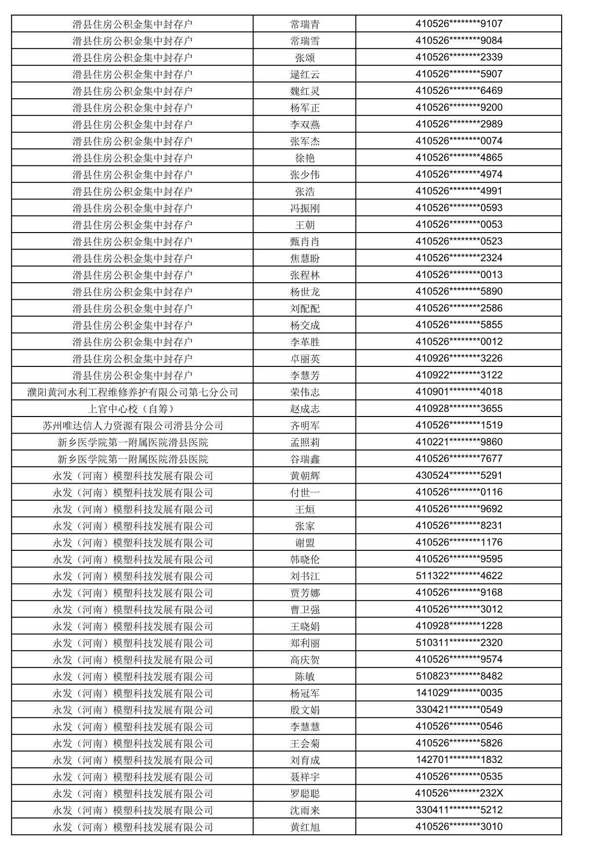
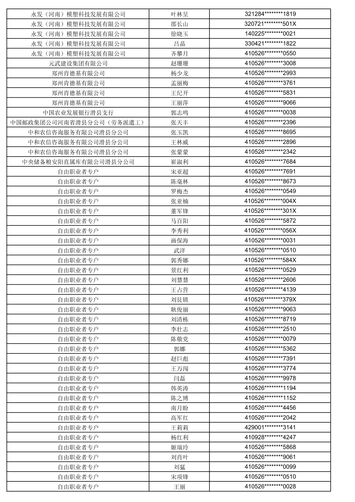
为进一步规范住房公积金账户管理,保障缴存人合法财产权益,减少账户资源闲置,根据《住房公积金管理条例》及相关规定,现对我县长期封存的住房公积金个人账户开展集中清理工作,现就封存个人账户人员名单公告通知。
以下缴存职工请收到通知后,尽快通过中心服务大厅、网上业务大厅、微信公众号等渠道办理提取销户手续,或在新缴存地申请异地转移接续手续。
业务办理地址:滑县政务服务中心三楼公积金服务窗口(具体地址:滑县创业大道与欧阳路交叉口东北角)
业务咨询电话: 0372-8118178 0372-8662106 0372-12329



















































上一篇:没有了
下一篇:业务停办通知
主办单位:滑县人民政府办公室 承办单位:滑县住房公积金服务中心
网站标识码:4105260003 备案序号:豫ICP备12007324号
地址:人民路南段众恒华府小区东门口技术支持:郑州基正科技有限公司